护理管理录取名单:

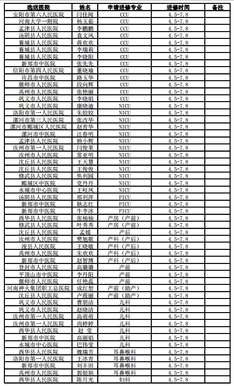
骨干护师进修录取名单:




请被录取老师下载并填写《护士进修申请表》/UploadFiles/file/20160328/20160328122421_8261.doc(请下载),所在医院盖章,带齐备注内所需物品,按时报到,逾期不予接收。
报到时间:2016年4月5日 8:30-11:30;15:00-16:30
报到地点:省医培训中心(黄河路与经二路交叉口)一楼2号报告厅
住 宿:由于我院条件有限,不提供住宿,请自行解决。
联系电话:0371-65586638 张 钦老师
进修护理人员报到流程: 1、递交《护士进修申请表》、身份证及护士资格证的原件及其复印件,核对建行卡号及进修专业。2、领取胸卡制作单去指定地点办理、县级医院骨干护师培训手册。3、 如需办理饭卡请您持 “胸卡”和“身份证”至省医科教大厦3楼餐厅办理饭卡并充值。
护理人员进修需带:
1、护士进修申请表
2、护士执业证书原件及复印件1份(延期注册及注册地点变更也需复印在同一张A4纸上)、身份证原件及复印件1份(二代身份证正反面复印在一张A4纸上)
3、本人建行储蓄卡一张(核对用)
4、自备工作服两套及白鞋、护士帽(手术室、导管室、中心ICU除外)
5、一寸彩色照片2张(进修结束时,办理结业证用)